一套落實SV30指標檢測規程的裝置(附SV30檢測規程)
SV30智能檢測裝置
對于污水處理廠來說,生化池中的污泥就相當于汽車的發動機一樣重要,讓污泥保持一個良好的性能狀態是生產管理中的重要工作,污泥沉降比(SV30)則是監測污泥性能狀態的一個重要指標。
SV30指標的檢測需要符合一定的操作規程(附后),如果操作不符合規范流程,檢測出來的指標可能差之千里,不僅指標失去了指示性作用,也可能忽略了一些潛在的風險。現實中,SV30指標的檢測非常依賴于操作人員的專業程度和責任心。特別是對于污水處理廠和水務集團來說,落實各種操作規程是管理水平和規范化程度的一種體現,可以起到綱舉目張的管理效果。
SV30智能檢測裝置可以輔助落實該指標的操作規程。這套裝置集成人工智能算法及污泥沉降裝置于一體,能夠準確記錄污泥沉降過程、形成沉降曲線,智能生成檢測報告,手機移動端同步識別結果,還可以實時測算沉降速率、智能識別污泥上浮、污泥膨脹等異常沉降狀態,實現報警、預警的功能。該裝置既將SV30檢測的操作規程真正落實,還可以減少對人的專業性的依賴,更專業、更及時的診斷異常狀況。

以下為污泥沉降比(SV30)指標檢測規程
1、定義
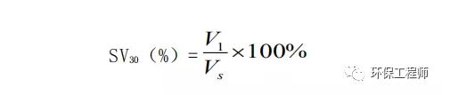
SV30 即污泥沉降比,將混勻的曝氣池活性污泥混合液迅速倒進1000 ml 量筒中至滿刻度,靜置 30 分鐘,則沉降污泥與所取混合液之體積比為污泥沉降比(%),又稱污泥沉降體積(SV30),以 ml 表示。因為污泥沉降 30 分鐘后,一般可達到或接近最大密度,所以普遍以此時間作為該指標測定的標準時間。
2、儀器
量筒,1000 ml。
3、采樣和樣品貯存
3.1 采樣:監測 SV30 的樣品應剔除各類大型纖維雜質和大小碎石塊等無機雜質,特別注意樣品的代表性。
3.2 樣品貯存:采集的水樣應盡快分析測定。貯存樣品不能加入任何保護劑,以防破壞物質在固、液間的分配平衡,應貯存在 4℃冷藏箱中,但最長不得超過 12 小時。
4、步驟
將混勻的曝氣池活性污泥混合液迅速倒進 1000 ml 量筒中至滿刻度(VS),靜置 30 分鐘后讀數,讀出的毫升數記為 V1。
5、計算結果的表示

式中:
V1 —— 沉降后的污泥體積數(ml)
VS —— 倒入量筒中的混合液體積數(ml) 注:結果保留到小數點后第一位。
6、相關文件
曝氣池工況指標行業標準
XX水務/環保公司化驗與檢測管理辦法
7、相關記錄

8、觀察要點及判斷
8.1 觀察上清液液面是否有油狀物、浮渣、氣泡,并要用手輕扇量筒口聞氣味。
①油狀物通常表現不明顯,注意仔細觀察朦朧的油狀物覆蓋液面;油狀物存在的原因,進水含有礦物油或乳化油、洗滌劑和消泡劑;進水過少,相對曝氣過度活性污泥解體所致;活性污泥老化解體。
②浮渣通常為棕黃色、黑色絮狀團浮于液面,存在原因:曝氣過度;活性污泥老化;液面油狀物所致;污泥中毒;絲狀菌膨脹;活性污泥缺氧。
③氣泡通常表現為液面與量筒間的成排氣泡(較大)或附著與液面浮渣的氣泡(較小)。形成原因:曝氣過度;活性污泥老化;液面油狀物所致;反硝化所致;絲狀菌膨脹。
④氣味在沉降初期聞,土腥味重則活性高;酸堿味重則混合液PH異常;臭味重則可能缺氧;其它異味可考慮特殊工業廢水流入。
8.2 觀察沉降過程中的整沉性、速度、間隙水、絮態等方面。
①在自由沉淀到集團沉淀的階段,整沉性表現出泥水界面清晰和整體沉淀。原因:活性污泥活性越低越好;污泥負荷越高越好;曝氣過度則差;中毒污泥整沉性差;絲狀菌膨脹整沉性好但沉速慢。
②速度分初期絮凝速度;自由沉淀和集團承擔的速度;泥水界面形成的速度。原因:活性污泥活性越高越好;污泥老化程度越老化越快;污泥是否中毒可快則快;活性污泥負荷越高越慢;絲狀菌膨脹緩慢;污泥濃度過早集團沉淀;惰性物質含量越高越快;水溫和擾動性。
③絮體形成以后,絮體間水體情況,清晰度和顆粒物。原因:曝氣過度增加不絮凝細小顆粒;活性污泥活老化解體;污泥負荷過高混合液渾濁;絲狀菌膨脹高清晰度。
④絮態為絮凝后的顆粒大小、絮體活動方向、絮體色澤。原因:曝氣過度絮體松散;活性污泥老化絮體粗實、色澤深暗;活性污泥負荷過高造成細小絮體形成;絲狀菌膨脹絮態細密。
8.3 觀察上清液清澈度、顆粒、間隙水、掛壁等現象。
①清澈度為上清液的整體色度、濁度。表現及原因:污泥負荷高低越高越差;曝氣程度過量則差;污泥中毒整沉差;絲狀菌膨脹上清液清澈。
②上清液懸浮顆粒數量。原因:污泥老化程度越老化越多顆粒;污泥中毒上清液渾濁且伴細小散裝顆粒;活性污泥負荷越高越渾濁;惰性物含量越高越渾濁。
③散在顆粒間水體清晰度。原因:曝氣過度大顆粒間隙水見仍可見小顆粒;活性污泥老化間隙水清澈;污泥負荷過高間隙水渾濁;污泥中毒間隙水渾濁。
④量筒壁粘掛有活性污泥絮體顆粒。原因:活性污泥老化;曝氣過度。
8.4 觀察沉淀物的壓實性、色澤、卷氈度、氣泡等。
①壓實性為最終的沉淀物密實度。原因:惰性物含量越多越密實;污泥負荷高低越低越密實;曝氣程度過度則差;污泥是否中毒細碎密實;絲狀菌膨脹隨膨脹度而變化。
②沉淀物的顏色深淺、光澤、鮮艷度。活性污泥活性越高色澤越淡;污泥老化程度越老化色深而無光澤;污泥中毒色澤晦暗;活性污泥負荷越高色澤越淡;絲狀菌膨脹淡而白;污泥濃度越高色澤越深;污泥反硝化色澤亮麗。
③沉淀后污泥的絮凝性進一步強化,表層非壓縮部將增強其吸附性。原因:正常狀態的活性污泥卷氈適度;活性污泥老化過度時表現明顯;污泥中毒、高負荷時不具卷氈性。
④沉淀絮體內夾有氣泡。原因:曝氣過度沉淀后即可見細小氣泡;絲狀菌膨脹;活性污泥老化后粘度增高;活性污泥反硝化攪拌后會釋放出來;取樣后高溫細小氣泡膨脹所致。